矩形双波补偿器-永航达矩形双波补偿器

河北永航达
服务热线:
15373316923
热门点击: 波纹管补偿器|非金属补偿器|金属膨胀节|催化燃烧设备|活性炭吸附箱|通风碟阀系列|螺旋输送机系列|星型卸料器系列|插板阀系列|
网站图片
矩形双波补偿器

矩形双波补偿器

矩形双波补偿器是金属波纹补偿器的一种,产品口径从300*400-6000*5000共98种规格尺寸,它的制造根据《D-LD2000 烟风煤粉管道零部件典型设计手册》种相关数据进行加工。矩形双波补偿器适用于电厂、钢厂等烟风煤粉管道,起到补偿设备或者管道的位移作用。产品连接方式一般为焊接,如有特殊需要也可定制为法兰连接。波纹材质常为304不锈钢,假如使用温度高的话也可以用321或者310S等材质。
产地:河北省>泊头市
供应商:河北永航达机械制造有限公司

咨询热线:0317-5568028

邮箱地址:hbyhdjx@qq.com

产品介绍
产品服务
订货须知
矩形双波补偿器是由两个金属波纹、接管、导流筒、限位拉杆焊接而成的一种补偿器,它在使用中两个波纹可以自由伸缩,产品重量轻、结构设计合理既能补偿管道或者设备的位移,还能起到防尘、耐磨、减震等作用。主要用于锅炉的烟风或者煤灰管线中,也可以用在冶金、化工等矩形的烟道之上。矩形双波补偿器的使用可以灵活变通,假如只需要吸收轴向的热涨冷缩位移,_可以只使用一件产品来达到这个效果。假如想吸收轴向、径向多方向的位移,则可以用两件补偿器组成一个复式的结构_能达到使用效果了。
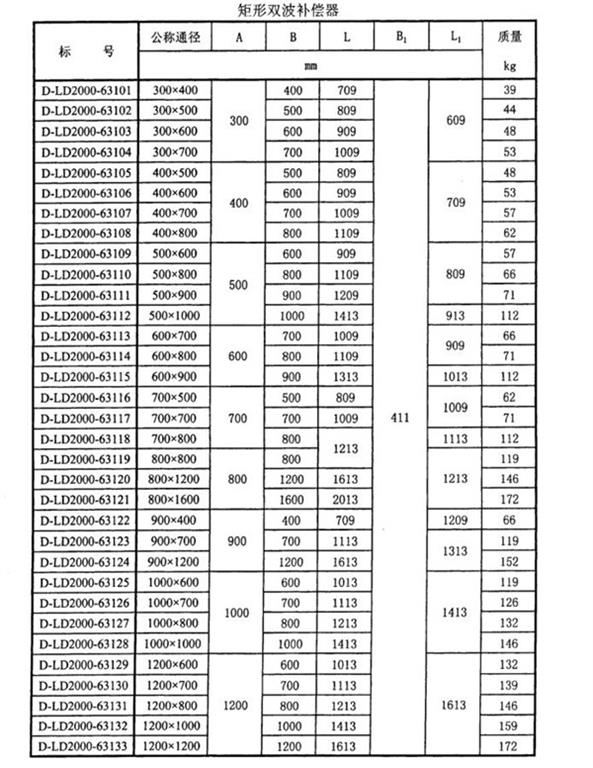
矩形双波补偿器图纸和技术参数:
矩形双波补偿器
矩形双波补偿器 
矩形双波补偿器 
矩形双波补偿器的使用范围:
1、热电厂(1)汽机(2)锅炉(3)除尘
2、水泥厂
3、钢铁厂、熔炼炉、焚烧炉
4、热电厂及核电站
5、空调送风系统
6、玻璃及矿棉业
7、石油化工企业
8、空气及煤气清洁厂
9、铝厂和碳素厂
10、风机厂
我公司永航达生产的矩形双波补偿器安全可靠,使用寿命长,在许多行业积累了大批忠诚的客户。。现已为国内外上百家客户供货多年,产品质量稳定可靠,公司精益求精的工作态度和不断的完善创新理念将_我们和您携手步入辉煌,共创美好未来!
浏览更多关于的内容
公司名称:河北永航达机械制造有限公司 公司地址:河北省沧州市泊头市西环路农电局南 电话:0317-5568028  网址:http://www.hbyhdjx.com 
河北永航达机械制造有限公司 2011(C)版权所有 并对网站所有内容保留解释权 冀ICP备18004242号-1 

冀公网安备13098102000381号